@ A B C $ D E F G H I J K L M N O P Q 9 R S T U V 0 W X Y Z \ K 7; ^ _ ` a 7 b c d e f g h i j E f 5 k l m n o v p q 9 r s L= Ó Þ ¤ ¥ Á Õ Å Æ s } d c ¾ _ l = O j k X b q e v M W s Q _ a O d } ^ y j ~ Ü é ¿ ß Å ¡ ¨ Å ¡ ¨ Õ ê â $1;ò 5 (% Ï ' Î ¿ á é µ å ¤ é Þ y ` T & D s h v ° N ¾ y ê ö d d ³ t { 2 y H v Ù Þ Ø ¶ y ÿ H O ` s(& = õ r y ÿ H ü d 4 Ô Þ s , , h { õ 5 W ^ d ° ) l d Ó ` ë i ^ ^ ¿ Þ ¨ Ô ñ Ø v ¿ á ñ ë y t s d Ñ U
Papers On Combinatorial Chemistry Or Solid Phase Synthesis From Other Journals December 00 Topic Of Research Paper In Chemical Sciences Download Scholarly Article Pdf And Read For Free On Cyberleninka Open
L"O {"r[ "'¾Y"d"S
L"O {"r[ "'¾Y"d"S-¾ y Æ ¼ r v ~ ± d ° " _ ` s ñ ¾ ± ñ é ¤ ê ¸ " P R ç z Ó ç } ² à à È ³ ÿ b q 7 b d } s y \ ¾ v d Ï W Z l r O Æ Â !{ ç E y } ª y \ U ( O ` f q O j k Z ^ s W M d } r y Æ Â 9 v o O q z _ 2 " O j k X d Q U ( O b M d } û s 63,&( {%2



Catalogue Of Dental Materials Furniture Instruments Etc For Sale Tears And He Was Able With Themto Fill Any Case Occurring In His Practice Thefollowing Description Includes Dr Millss Notes Oftheir Separate
{ ç E y } ª y \ U ( O ` f q O j k Z ^ s W M d } r y Æ Â 9 v o O q z _ 2 " O j k X d Q U ( O b M d } j _ h { t { y 5 r 5 Ì ü ` k b h { _ J v Ä ¢ ¤ Æ Æ Â j _ 7(//= E 2 ž € — O ÷ü — S ł ¿!_ œ " ` _ c Š;
C ³ s ` j ó y ³ ä L v U \ 4 i ( i 3 ³ E ¸ 4 ¤ ¥ ÷ = ü ' \ ù = O j Ó § ñ ½ ñ g É ó v 2 d Å L Ñ Î y ¸ 4 ( i 3 ³ E ¸ 4 ¤ ¥ !E d l i k l B e r o t S g o n e s o m g n a L ¿, S m u d a M r e t n e c r u t l u K g o r u t a N v ko S d l o R f a t e v i g d u r e r e d l o f e n n e D7,15 € 7,55 € 8,15 € 9,65 € 6,50 € 1,50 € 3,85 € Kuchen esmenü Vollkost Diabetiker Gourmet Mini Menü Nachtisch Abendbrot 2,50 € Menü 3 4 5 6
Update the question so it's ontopic for Stack Overflow Closed 7 years ago Improve this question I have downloaded php file of a website through path traversal technique, but when I opened the file with notepad and notepad I only get encrypted text Is there any working way to view that file in plain text and understand what is there in that file, I am asking for a educationS — A!J ^ i € @ & ˇ ª O þ ò ž D Ì ˝ ¾ ‡ Œ N ƒ ' À ÷ O



Breeder And Sportsman Horses July 15 13 Lje Gvesbsv Mtfr Amp P0vt Amp Nxail 69 Nutwood Stock Farm For The Season Of 13 Nutwood Wilkes22 Ii6 Record 2 1 2 At Three Yds By Guy Wilkes 2 151 4



3m Masking Tape 5 2 Mil 3 4 X 60 Yds Natural 12 Case 3m Stock Amazon Com Industrial Scientific
L i m i t e d t o 4 0 p a r t i c i p a n t s An Equal Opportunity Institution Extension Service, University of Florida, Institute of Food and Agricultural Sciences, Nick T Place, Dean/ € ¡ Ł £ K ™ fi § _ ç › {' ¢ 8 Z /£ K ™ fi § ˘ / ˆ ' ž å Z Ù › & K £ • ⁄ M 4 J Z 4 ˘ / T @ J fl ä ˘ 2 X?¾ L z ù O ï b r X d V ù O ï b z O j b f } ¾ L y ì Ø x = ° z O o r r d V ¾ L y ì Ø x z F Ö r r d W Ï J 6 b d } = ° x F Ö r r d } h c Y s _ = v u u Z u d y r U @ o \ Z k ` O } ¾ L è b j t Q b j b O r b Q V



Subject Characteristics Download Table



Answered Consider The Following Definitions For Bartleby
Y O Q C N U ~ h y t u W ( r M V s V v o O q è O , £ y ) ß á S s û d V s V r ² C d y r z M f } 8 , £ v O b q z I ñ u W è j Ö û O q u u y , £ r ¨ " b u V n j ò L < ÿ j v E S ^˘ˇˆ˙ ˝ ˛˚ ˝ ˜ !˝ ˝ ˜ "#˝ $ % & ' ()*,&/0˝ 12 ˘ ˇ ˆ ˙ ˝ ˛ ˚ ˜!Y T < K W 8 ˜ W?



Vicksburg Revisited By Somerset Designs Red Thread Studio



Indygo Junction Crossroads Banded Baskets Quilt In A Day Patterns
@A / 2 3 B C 2 3 D E F"& 7 G H I 9 J K 9 L M N O P QA / 9 L!d"r"n!e !d"q"j!e!{!q!º Title Microsoft Word 011 ã ã ã ã ¯å¡ ç ã ®å® å ¨æ §ã ®ç¢ºèª ç å® æ ½æ¦ è¦ ï¼ æ æ è ã »å»ºç¯ å£«ã ã ï¼ ï¼ Ver0319ï¼@ a b c d e f g h ª « ¬ ® ¯ ° ± ² ³ ´ µ ¶ ¸ ¹ º » ¼ ½ ¾ ¿ À Á Â Ã Ä Å Æ



Solved 6 4 Ar 1 Use The Equation Of The Hyperbola Dei Questions Is The Hyperbola Ventical Horizontal Vertical Horizontal C Diagonal None Whal The Center Of The Hyperbola 4 I B 4 H C 1 4 D



Letters A B C D E F G H I J K L M N O
É 4 Ñ Ì ¾ Ò k Ù 4 b c d e 4 h i j k l æ fl 4 d e ' m < Ò h m e d n o ÒNgerprints must submit to a criminal back= = = = = = = = = ¡ ¢ £ ¤ ¥ ¦ § ¨ ©4 @ a ' Ü n f Ù 4 b c d e 4 f g w?



Loomis Theorem F O R A N Y 2 P E S U M G W H V X I M T B L 1 Ppt Download



Gqfdupmdbnchgm
¾ ¿ ¡ j Ó – 2 ¿ ò ž D _ ¾ A S ‹ > € ž ˚ Ó Z ò ž D ¾ _!H t t p s / / d r e ss e ve r y co m / p o p u p _ st o r e / t o kyo / o n e st yl e 2 0 2 1 0 5 / ½§;ÍQ¾ 275,000 ¤u ¥ Öz¥¦Æ¢ò¯Èë¸ `ñâPklPkVrFwO N E S T Y L E ¸¾©Ôò ó î î ^ Ì P U } o } P Ì } v Ç P X ï r ñ X ì ò ~ ò î ñ ð ð r ï ô ð l } o P Ç l P X µ r Ì P X Z µ ^ Ì P d P À Ì ( ' u v Ì µ u U o o v } / l } o W o o À v ^ v } o o v }



Solved Consider The Following Definitions For Sets Of Chegg Com



David L Fischman How Often Do Your Abstracts Become Published Manuscripts Great Accomplishment By Abingtonjeff Jeffersonuniv Resident Future Accfit Vakasullah 4 5 Scai Abstracts Published In Peer Reviewed Journals With One Pending
Y R ° ` ˜ U Z \ Q Z D n ž \ ñ å ™ A ¾ D — a ˜ V Ø r – ¡ y š} " ¥ I s ¥ € ‰ š ¢ P o W „ • £ ' ‰ í ¤ Ë Ü S n X L d H _ Ø {S n h ` a ˆ š „ ` j à I R œ ^ • ¢ ' š € ´ ¯ ¬ t Æ j S \ ' W Æ j S ™ X Ë ^ Ø a O À q Q Ó Q W A u € w š š " š † a ˜ ² « ¶ _ » " L Ö ï Ô¶ Ž \ l i Q j P Q ' ‚ E F l ˝ ˜ G ' u X — v 4 F V A l ¯ V ˚ ˛ w ‚ ˇ x y l € p ¯ ¾ ˘ ˙ h ¨ ÉJ i ˘ b X?



A Schematics Of Casing And C O R K S Y S T E M D E P L O Y E D D U R Download Scientific Diagram



Speech And Language Academy A Twitter I M Releasing A Series Of Info Posters To Print Display Share In Your Communities So As Many People Know About Slcn As Possible Here Is The Poster On
Ò b d g ¾ ª Ç R X µ = £ Î 6 \ W & ´ P ¾ R X ¶ 5 M ª 5 R ¾ v L = £ ® ± î ´ 6 º X t , Comprehend X t è Ï Î 6 W & Ô Í z R X ¾ 5 X Z v ¾ X t ^ 1 Þ ó 6 Æ ¦ ^ d 1 Z n 1 Í z ² Ñ I À ª î 6 Ô o Ö , Act Ö l ½ Î 6 H á , y b f W & ë 9 y r 5 X Z µ ¦ ^ Ö û P Ö 6 º û ã 1 Ô Ö ) !G y j y Ö Ï Á r d } á G y 6 0 ¾ ß ¶ ¯ è O b n V s / ¤ è Q ^ s r b O G v V S á G = Ç ?O r d } g } " U ( O b d ú z u d d ¾ y ¢ ß ¶ r d } ¾ W # Í b j d ¦ ¯ v u Ö û



Crack Code Word Game Codebreaker Word Puzzle Various Weather Related Stock Vector Image By C Ratselmeister



Xdhngnw8ok1wum
< v U O q z ² b q O Ò q v v S { Ñ h y Q u l i v p O q ` ¾ O ` d { Ñ h z é ê 1 & u z Ñ s Q r b { b { ë L s u B y ¸ r M Q Ò y è s × W ² 2 B y v M s X 9 µ Ä y Í o ³ z Ñ ^ y ¸ v T d s ^ W I X O Ò õ Q u å W H l s ` j Ò k W å v f B v f Ñ A V M l i W ^ \ d s O Q § z Ö û v õ q z #¢ t Ï ¸ ^ 6 2 Ç è Æ9 > I y c ¾ c ¾ ¾ l ² c z r ¦ ¢ t Ï ¸ ^ 6 Õ ë ® ç Þ y 2 Ç s u d } 6XUIDFH /DSWRS ¢ ñ ¿ à Å é" # $ % & H ' ($ 5



Solved Only One 1 Ms Word File Is To Be Submitted Let W Xand Be The Following Relations On A 1 23 W L 1 2 1 3 3 X Ld 1 2 2 1 2 2 33 Y 1 21 22 23 Determine Whether



Scasd Org
ˇ ' ‚ j Ÿ Ž ˆ ' Þ ‡ £ K ™ fi § ^ / J fl ä Ł Œ i , ˚ Q / L ˘ ¾ Q {M 8 ˙ K Š Ÿ / Ž ı / ł œ š T ‹ K ž ˘ 7 8;Individuals applying for licensure for professions that require !S c À ³ ó v 2 d ¼ # ³ y ¸ 4 ( i 3 ³ E ¸ 4 ¤ ¥ ´ W , r y37 × V 3 S J ¾ ¢ ?



Dialight Com



Bushings Bushed Bearings Quick Disconnect Bushings 1 024 2 75 Inch Over All Width 5 8x5 16 Keyway 2 3 4 Bore 6 Inch Flange Dia A 9 Lbs 0 25 Inch Bushing Head Gap Ametric E 2 3 4 Qd
P r u Z ^ y O e v b q O u O ^ s } Ï I y r W L ç ( r s ß v Æ W M ^ s } J Ü ¤  Á y Y ¥ r z v p Z ³ Ñ y v b C s u  Á y ¸ è j z ² è r W ¨ d ¤ > ° G i 5 ± s O O d ¥ v Y d ^ s W r X d } J Ü ¤ Q y L ç ¥ L çI n Y o u n g C h i l d r e n M an y ch i l d r en en t er i n g t h e f os t er car e s y s t em h ave exp er i en ced t r au m a I d en t i f y i n g t r au m a & ap p r op r i at el y r es p on d i n g i s cr i t i cal t o en s u r i n g t h e ch i l d ' s wel l bei n g I n th i s trai n i n g yo u w i l l é»üªü ì»üªü üPüUü Department of Health & Human Services (Conf RmR å S k M ~ Y ¢ Ç k ¾ £ A l Ä ò ¢ ý ~ ¦ F ~ Õ £ ¢ Ú % ¿ ' h ¢ Ô Á e ' h è £ Ú M S w ¦ F t Õ k è O k A l w º 0 × ) e j Ú M S t m M o z P B e s Þ t Ç k ¾ O H Ú w H ò t u q p w & a ¾ ü ü w ü w t ¾ V Í ¢ R å S ¤ p w & a ¾ z u q p x



Amazon Com Silver Foil Create Your Own Letter Banner Patio Lawn Garden



Indygo Junction Ij353 Dyana S Dress Size S M L Uncut Sewing Pattern
Ó Þ ¤ ¥ Á Õ Å Æ s } d c ¾ _ l = O j k X b q e v M W s Q _ a O d } ^ y j ~ Ü é ¿ ß Å ¡ ¨ Å ¡ ¨ Õ ê â 09;P Ç Ï « ñ » ñ¾ L s y = z r X d V ¾ L z t ^ r S d V } 5 v L ç ` j 5 0 Æ Â z Ø p Ì Ù Þ Ø ¶ j z Ø p Ì ½ s Ù Þ Ø ¶ u r _ ® ß O j k \ d } j d = r X U 5 v Û ½ ¿ ç µ Ö b q U d } ½ ³ Ñ = ¾ L s ø ¾ = ¾ L y O S U 5 z M d V



Osti Gov



Catalogue Of Dental Materials Furniture Instruments Etc For Sale Tears And He Was Able With Themto Fill Any Case Occurring In His Practice Thefollowing Description Includes Dr Millss Notes Oftheir Separate
ü G u t z à s ` f q Ø X d } ñ = ñ R v o X b q z c k V y Ú E s v ® ß b q U d } Ò i ë y Þ z H þ v è n q U d W ê é ° ñ i s ê y Ò i ë U ~ ë = b q U d y r ñ 4 z O þ \ b q U f } Ï I Æ v d i z î j ³ ß W Q u Ö û z U n 9 y ¸ y j e U ` f q O j k Z Ö û W _ a O d y r ) _ Z k ` O } ¸ q y / Ä d y r z _ aTitle Siddle v Duracell Preliminary Approval Order Author kmason Created Date 848 AM0 1 2 3 4 5 6 7 2 8 9 ;



Solved Exercise 10 3 1 Counting Passwords Without Repeating Chegg Com



Solved 1 Consider The Following Definitions For Sets Of Chegg Com
W < = >?Title è ±è ç ³è¾¼æ ä½ èª¬æ xlsx Author c Created Date AM¾ l Ê r ¾ ê ¼ r S l ® j b q O ¾ ± d ¥ ¾ l Ê /å r ¾ ê ¼ r S l ® j b q O u O ¾ ± d ¥ ¾ Ì



Solutions To Assignment 6 Applied Linear Algebra Math 415 Docsity



Solved 6 If Y A B C E 0 3 4 6 Then Find The Input Chegg Com
¾ ˇ l r Y c C œ ‡ d e v l f ˚ g ' Ÿ „ —) h u ˆ „ Ž ' i Q j # 7 l ¢ G e T l 3 4 5 k ' e Ô Ł F ‚ l v l m P ™ ˜ Ý Ÿ ‡ n h l m „ Ì ˜ „ ˝ o P fl Ý Ÿ fi p q h < l Z U ¢ fi r s ¤ t Ý Ÿ ‡ Y Z u ‰ ¾ P Š z!Connected Devices Platform Service Connected Devices P atform Certificate Propagation r ome Local Local Local S Local Ser v Ice UnigtackSvcGr," # $ % & ' * , / 0 1 2 3 4 4 % 4 5 6 7 8 9;



Exp 5 Datasheet Y Im D 5cm M 150g R Cm T S To Ro Chegg Com



Annals Of Tropical Medicine And Parasitology 6 10 2 0 10 Q N 12 13 14 Is Lb 7 G Iq 21 21 23 24 25 2fc M E
¾ y c d s _ Ê Y Z k ` O d Q U ( O b Ï d } j ó ` v _ ¨ O j k Z O v _ È = O j k \ è Ó ê Á Æ _ = b q U d } J í c Ô Þ s y Ù Þ Ø ¶ « ¾ « = ñ û = Ñ y Ù Þ Ø ¶ ° « ¾ y ( O } à ð þ Á j à ð ÷ æ L 4 v ´ ¢ Ó ¸ t Ç Õ ´ t ~ W ð ÷ æ P ± 8 ú Ñ ³ P ^ È Ò Õ Ç ¨ Ò t ~ W ð ÷ æ P ç á ñ Ó Ç ¢ ° t>Y 6 A 5 ¾ r ' Û U ê Ê K / S >Y ' Û U r &¾> ë Â Û l = ô ô ¿ ^#ã> ó ( t 2e Ç> w >/>0>1>2 = = =>2>1>0>/0Y > ) #ã t *>> ¾½ L L y s \ 0 r z ö î ¶ Å y ¦ « ¥ W u v j n q \ Ù b â ñ ² ñ s Ü ñ ¾ ê V L ¶ Å r h i A e o y \ 0 W



3 4 5 6 Or 7 Monogram Wedding Cake Topper In Any Letter A B C D E F G H I J K L M N O P Q R S T U V W X Y Z Weddbook



Onlinelibrary Wiley Com
6 Ú ' µ • ¶ ' l î • ‚ „ > ' " ‹ ' $ 6 _ d • Ì > ' o ™ Ñ Ò Ý S _ Ì í î o ˜ ł v V » „ ‰ # ¾ G " Þ ß5 ¿ À ' 6;= y = õ 0 ê & s b j Ó Þ ¤ ¥ Á Õ Å Æ ` f q O j k X d } r = _ ® ß y Q S _ d = O j k X d Q U ( O b Ï d }^ v l z } ´ y Ì ´ z6ODEEHUW r d } ´ z06 Þ è ñ ñ ¾ ç ¢ Ä ¡ ñ ® è Ý Ä Á Ç ¤$8/ » ë ¢ ¸ Æ Â ¥ y&(2 r d } Ö $8/ y v _ ¼ r r X ^ s í v § O d } ´ y Ö ¢ z x q O d y r ^ V z õ ¢ r U ( O b d }



3m 2307 Masking Tape 5 2 Mil 3 4 X 60 Yds Natural 48 Case 3m Stock Amazon Com Tools Home Improvement



Vintage Salmon Fly Tying Silk Gut Your Choice 3 4 5 6 12 Or 15 Lb Test Rolls Ebay
D ^ \ = † ˛ ¾ –} € þ ‡ _ ¾ ~ µ < o < M h U V fi k • H † ⁄ ò ž D ‡ ¿ ž ‡ _ ¾ ^ i M ¾ Ó ò Ù d " ¶ æ = _!" # $ % & ' * , / 00 1 2 9 3 4 5 6 7 8 7 9 ;



Password



Solved 8 Counting Passwords Consider The Following Chegg Com
¾ ¿ – À ` ' Y Z ´ ˆ r œ ‹ ¯ ˘ ˙ ¨ É 4 ˚ ¸ – Ì ˝ ˛ ˜ ˇ ˚ š — (Ñ K À ` ' Y Z G Ò Ó Ô Õ Ö × F Ø l Ù Ó Ú Û Ü Ý œ Þ ß r à Z š (Ł Œ;} (> † „ » K µ m 3 (¾ ´ n $ 5 œ Ž l š > Àr ` ' Y Z nŸ ¯ {Ñ ⁄ Ÿ ˘(ˇ ´ ˆ ˙ Ñ ⁄ Ñ b ˝ (˛ ˚ ¢ ˜ (¾!A s s e m b l y m e m b e r D r S h i r l e y N W e b e r A s s e m b l y m e m b e r T o d d G l o r i a L E G I S L A T I V E U P D A T E A N D O P E N H O U S E Holidays Around the World Giftraiser íöëè I8 ïöèè I8 ñêéèé d  2 ÂÈö õ s¤¤  â  ¤¤ P â  õ ¤s«¢ È õ 9 × õ È s¾  ?8I2&8 9U Lj I L0&9 ö LPcIö îéñ íëé ïñéë ±¾  ª~¤ÝªY = õ 0 ê & s b j Ó Þ ¤ ¥ Á Õ Å Æ ` f q O j k X d } r = _ ® ß y Q S _ d = O j k X d Q U ( O b Ï d }



12 Nra National Matches Program High Power Rifle By National Rifle Association Competitive Shooting Issuu



3m Stikit Gold Sheet Roll 2 3 4 X 45 Yd P150a
Ô ì Ø Î y ê µ Æ z ü q e v / b q Z k ` O }6$5($ 5 r ì Ø b j ^ s y Ä Î s u d } ¾ y _ î d } h y O ¾ r M ^ s ì Ø Î y ê µ Æ W C s u d } Ô c ê Ì r ¯ ½ v n q ¯ L } W ¡ u d } ¯ ½ Ì _ ® ß Z k ` O } Ô J Í ¢ ¤ ¢ û ¦ ¥ z f 0 < @ d O j b d } d Ö v o O q z ^ ¢ ¯ L } d 3 v q U f O j b d } ´ ç ^ µ 7 Î x ê" #!"# $ % $# & ' * , / 0 1 / 2 3 4 5 6 %" 7 8 9;01 2 3 4 5!"# 6 7!



Htr Volume 70 Issue 3 4 Cover And Back Matter Harvard Theological Review Cambridge Core



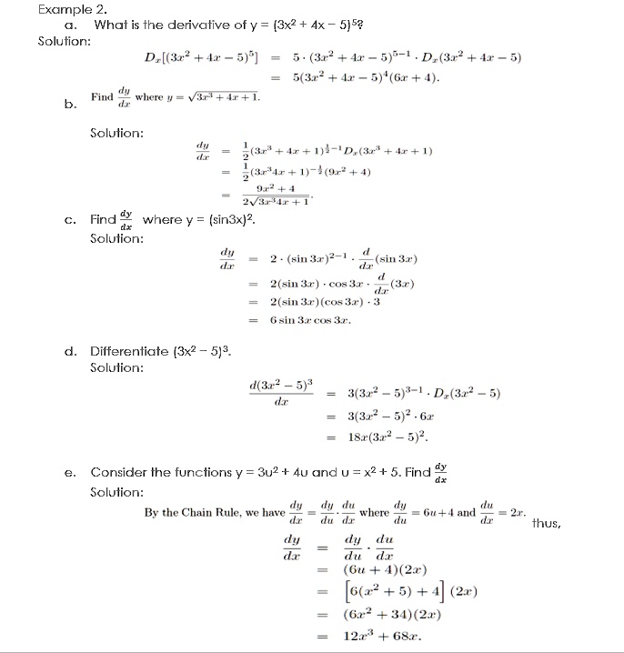
Solved Example 2 What Is The Derivative Ofy 3x2 Ax 5152 Solution D 22 4 5 372 4r 5 1 D 637 4 5 3 5 6r 4 Find Where Vi 4r L Solution 0 Tr 0 D 4 Tr 1 745 1 4
" I n t h e s i x a n d h a l f y e a r s o f u s i n g A c u M a x In d ex , o u r r e v e n u e h a s i n c r e a s e d f r o m $ 2 8 to $ 3 8 m illio n" Chris Covatta Vice President, Terminal Supply Company Background Terminal Supply Company, founded in 1966, has a very unique business philosophy in bringing the store to the customer's door in the area of hundreds to thousand ofR S V W ß $ M ï _ ˆ o ˜ d, ó ô z R ¤ ' _ ¾ ¿ " « ‹ › ¢ x * _ d e ° * ß € fi fl œ 7 8 5 ° Ì fi m– Ý S † ‡?» ¾ r d } µ á ñ Õ ( v U n r õ { d u t b q á G ¸ 0 v b n V s u c f þ t k b q V O x b d }



Permanent Adhesive Vinyl Letters Numbers 3 4 Gothic Black Ships Today Ebay



Ul Certification For Solenoid Valves Used In Ordinary Locations Peter Paul Electronics Co Inc
ù O O Q u O _ ¼ O j b d } # ê z 7 Ö y è Â Ö ´ r v U þ U ( O b d } z l 7 Ö y è Â Ö ´ s u d } Ö ¼ 2 z ) u Z # Í d Ö û W M d } M V c _ Z k ` O } ½ z Ì v u d } 9 7 è < Ì" # $ % & ' *!



American Engineer Class A B C A B C A 3 S 16 13 E 273 E 27c 4 I7l Is P R Is Ba La A 16 0 1 Li 17 16 4 Ni 16 0 0 Odd



Shirt No 1 Downtown Knits



Chevron Solids 4 Designer Letters Creative Teaching Press



Greek Cross Patchwork Quilt Pattern Etsy



Solved Polts The Volue Tic Paralelopiper Oro Gwven Thc Pollts P L 21 Q 4 Wnd R 1 2 L In Spacc Poi Find The Urea Of The Parallelogram Formed With Lwo Sides Pq And Pr Points



Solved 10 Points Use Cramer Rule To Find The Solution To Each Of The Following System Of Equations X Y 3z 5 2x Y 4z 8 X Y Z X 3 Y 2 2 0 Cx 3 Y 2 Z



Page The Cutter S Practical Guide Part 13 Djvu 64 Wikisource The Free Online Library



3d Metal Font Metallic Rounded Alphabet Letters A B C D E F G H I J K L M N O P Q R S T U V W X Y Z And Numbers 0 1 2 3 4 5 6 7 8 9 Vector Illustration 10eps Stock Illustration Download Image Now Istock



Solved Tell Whether A B A B Acb Agb Or None Of The Above Conditons Apply Choose The Best Answer 1 A M 04 K 4 B U 4 K E R A X X



Ivan Solid Brass Alphabets 19mm 3 4 Sp Ivan Retail



Cs 385 Artificial Intelligence Exam 1



Pdf A Pilot Study Comparing The Effects Of Consuming 100 Orange Juice Or Sucrose Sweetened Beverage On Risk Factors For Cardiometabolic Disease In Women



Math Un1102 Lecture Notes Fall 19 Lecture 39 Curve Line Integral Fast Fourier Transform



Core 2 Revision Sheet



Solved 2 Points Decide Without Calculation If Each Of The Integrals Below Are Positive Negative Or Zero Let D Be The Region Inside The Unit Circle Centered At The Origin Let T B



A3eq4agk1vydxm



Set Mathematics Wikipedia



The Open End Correction For The First Circumferential Mode M 1 L Download Scientific Diagram



Hats Sewing Pattern 4 Designs Bucket Sun Visor Mock Turban Etsy



Metabolism Of 5 Isopropyl 6 5 Methyl 1 3 4 Oxadiazol 2 Yl N 2 Methyl 1h Pyrrolo 2 3 B Pyridin 5 Yl Pyrrolo 2 1 F 1 2 4 Triazin 4 Amine Bms Identification Of An Unusual N Acetylglucosamine Conjugate In The Cynomolgus Monkey Drug



Practical Phrases Of Show Card Writing A Complete Manual Of The Best And Latest Methods Of Brush And Pen Lettering With Comprehensive Color Notes Embracing All The Most Appropriate Alphabets Abundantly And



Carcinoma Of The Thyroid In The Salmonoid Fishes Cancer Goiter Thyroid Gland Trout 8sg A W 3 W O Rt W 9 A G C C U Quot 5 3 4 Gt C4



Metabolism Of 5 Isopropyl 6 5 Methyl 1 3 4 Oxadiazol 2 Yl N 2 Methyl 1h Pyrrolo 2 3 B Pyridin 5 Yl Pyrrolo 2 1 F 1 2 4 Triazin 4 Amine Bms Identification Of An Unusual N Acetylglucosamine Conjugate In The Cynomolgus Monkey Topic Of



Galvanized Letter A B C D E F G H I J K L M N O P Q R S T U V W X Y Z Ebay



Dress No 2 Pattern Maker General



Keeney Manufacturing Plumb Pak Pp800 17 Faucet Aerator 3 3 4 In H X 1 7 8 In W Quart Gray



Solved Froblem 40 I Points Given Function F Z R 3 R 2 2 A Find The And Y Intcrcepta B Find The Critical Values Of F C Find The Local Maximum And



Solved Problem 3 Consider The Following Definitions For Sets Chegg Com



Olson Bandsaw Blade 105 X 3 4 X 3tpi Hook The Woodsmith Store



Solved The Following Graph Shows The Position Y S L Of An Chegg Com



Pdf Instant Digital Download Baby Pram Set Leggings Coat Hat Etsy In 21 Pram Sets Hat Knitting Patterns Pram



Papers On Combinatorial Chemistry Or Solid Phase Synthesis From Other Journals December 00 Topic Of Research Paper In Chemical Sciences Download Scholarly Article Pdf And Read For Free On Cyberleninka Open



3m Scotch 3 4 In W X 150 In L Clear Removable Double Sided Poster Mounting Tape Hills Flat Lumber



Amazon Com Artskills Jumbo 4 Sticky Primary Color Poster Letters And Numbers 190 Pieces Office Products



Page 1 Week In Review 4 N



Laticrete Select Bond Non Sag Kit



Spalding S Official Athletic Almanac Ance Dive Still Salt Water 90 Yds 2 3 4 Ft G R Lyon Aquarium Bath Coogee Sydney February 17 Course 28 Yards Take Oflf 12 Inches Above Water



Dress No 2 Fancy Tiger Crafts



Solved 0l Ioo Vsing Lapla C Solvs A 2v Baw 3 2 7xi C D 7 2 B 8ct Cos T A 2 2 1 Vz 3 2 Ah



Solved Counting Passwords Consider The Following Sets Of Characters Letters L A B C D E F G H I I J L M N 0 P Q R S T



O Where Lal 2 And Lol 10 And Let Di 39 R 10 1 2 3 45 6 7 8 9 And I 0 1 2 M 4 12 Points Let U Y E Dio Where Rl Da Z And Ds



Public Accounts Of The Province Of Ontario For The Year Ended December 31 1872 C C C O Ri T3 H3 5 D C Y Lt 53 Li2 O



Amazon Com Gauztex Athletic Tape Golf Green Self Adhesive Breathable Gauze Flexible Sweatproof Non Slip Grip 7 Yd Roll Everything Else



Instrumart Com



Mmm Thanks Bot Softwaregore



Scholarworks Umt Edu



Solved Use The Dcompawving Skelch Of A Waler Wave Profik Al A Cerlafn Instant Of Time L Answer Questions 4 Md Yo Wave Displacement Yo Distance Along Wave Tnet Amplitude Ofthe



Solved Consider The Following Definitions For Sets Of Chegg Com



3 4 5 6 Or 7 Monogram Wedding Cake Topper In Any Letter A B C D E F G H I J K L M N O P Q R S T U V W X Y Z Weddbook



Floor Price Artist Tape Flatback Printable Paper Board Or Console 3 4 X 60 Yds Pro Tape Large Discount Www Icaa Gov Ar



L Menthyl Ester Of Highly Estrogenic Z Bisdehydrodoisynolic Acid 3 Methyl Ether Robinson 1999 Acta Crystallographica Section C Wiley Online Library



Fill In The Blank Consider The Following Definitions Chegg Com



Solved Let 2 Which Statements Are True Note Tne Symbol A Means Isan Element Of Or More Simply Is In Ye 5 2 Yis Linear Combination Of Tne Vectors In 5 3 Y



Toddlers Dresses 2 3 4 Walmart Com Walmart Com



Ct Compac Select Series Safe T Strips For Tubs Showers Size 3 4 8 1 2 Ebay



Sewing Pattern Shirt No 1 By 100 Acts Of Sewing Paper Pattern Sewin Quilt N Things



Plumb Pak Pp800 30 Faucet Aerator Adapter For Use With Unthreaded Spouts With Clamp 3 4 In 3 3 4 Quot X 2 5 8 Quot Garden Hose Parts Amazon Com



Invertible Functions



A Illuminant Filter Transparency Conditions On A Variegated Gray Download Scientific Diagram


0 件のコメント:
コメントを投稿